Home

Research

CV

Publications

Conference
Participation

Seminars Given

Group Members

Teaching

Misc

Condensed Matter Group

UR PAS

    Teitel Group
Theoretical Statistical and Condensed Matter Physics

jamf3big picture
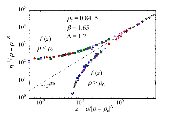
Plot of scaled inverse viscosity η-1/|ρ-ρc|β vs scaled shear stress σ/|ρ-ρc|Δ. We find an excellent scaling collapse using values of ρc=0.8415, β=1.65 and Δ=1.2. The different symbols represent data at different values of the density ρ, from ρ=0.830 to ρ=0.868.


University of Rochester
Department of Physics and Astronomy
P.O. Box 270171  •  500 Wilson Boulevard  •  Rochester, NY 14627-0171
phone: (585) 275-4351  •  fax: (585) 273-3237

This page was last updated: Fri, Sep 30, 2016; 2:33:46 PM

   This page is located at: http://www.pas.rochester.edu/~stte/teitel/resPages/jamf3bigPage.html